Fire Effects in Native Plant Communities
- Jump To:
- Introduction and Historical Overview
- Fire Effects on Plants
- Herbaceous Plant Response to Fire Frequency and Fire Season
- Fire Effects on Air Quality
- Fire Effects on Soil and Water
- Fire Effects on Livestock Production
- Fire Effects on Steel-wire Fencing
- Fire Effects on Wildlife and Wildlife Habitat
- Fire Effects on Riparian Zones
- Fire Effects on Timber Production
- Fire Effects on Parasites and Diseases
- Applying Fire Effects Information to Ecosystem Restoration
- Fire Effects on Wildland Fuels/Wildfire Risk Reduction
- References
- Web References
Introduction and Historical Overview
Most of Oklahoma’s native prairies, shrublands, and forests are out of balance because of fire suppression. A good example of this is the invasion of eastern redcedar and ashe juniper into prairies, shrublands, and forests throughout Oklahoma. Redcedar invasion is one readily visible indicator of poor land management and ecosystem dysfunction. Another example is densification of forests in central and eastern Oklahoma. Here periodic fires thinned the forests and helped maintain open woodland or savannah-like conditions.
Since natural fires no longer happen as frequently, prescribed fire is an ecological driver that can be used to restore ecosystems and landscapes to their historical diversity and productivity. It is essential for maintaining wildlife habitat including endangered species, water quality and yield, livestock production, timber production, parasite and disease control, wildland fuels/wildfire risk reduction, and ecosystem function. Prescribed fire also can be used to enhance the appearance of forests, shrublands, and prairies. Fire creates open park-like conditions in forested areas. It can also be used to create savannas, a mixture of scattered trees and native prairie. Fire also controls woody invasion into prairies.
Fire Effects on Plants
Much of a plant’s adaptation to fire is determined by its growth form, bud location, or bark thickness. Another affect is related to the timing of the fire relative to the plant’s growth cycle. These affects are further confounded by the interaction of previous management, previous climatic patterns (e.g. drought), and previous intensity and duration of herbivory.For example, bunchgrasses like little bluestem accumulate dead material above the root crown and the center of the plant dies over time. After a fire, it sometimes appears that the plant was killed when in fact the center of the plant was already dead. This can be observed by examining burned and unburned plants in the same area. In contrast, rhizomatous grasses, such as big bluestem, have growing points below the soil surface and do not accumulated fuel next to the root crown.
Woody plants are adapted to fire by location of buds or protective bark. Most woody plants resprout if top growth or apical buds are killed. Once apical dominance is lost, dormant basal buds below the soil surface begin growth. Some woody plants such as eastern redcedar lack basal buds and do not resprout. The absence of the resprouting adaptation suggests that eastern redcedar did not develop an evolutionary adaptation to fire. Many woody plants have thick bark and are adapted to intense fire. Eastern cottonwood, post oak, and shortleaf pine are examples of fire tolerant woody plants. Shortleaf pine is one of the most fire adapted coniferous plants and one of the few conifer species that resprout after being top-killed. Woody plants greater than 8 inches in diameter at 4.5 feet above the ground generally do not resprout. Some woody plants like sumac (Rhus spp.) have rhizomes and basal buds that are an adaptation to fire and herbivory.
The frequency, intensity, and season of the year when a fire occurs is second only to precipitation’s influence on vegetation. Fire frequency in Oklahoma, prior to settlement, ranged from once per year to once in 30 years. The return interval of fire depended primarily on fuel load (a function of precipitation, soil type, and herbivory), topography, and the location of fuel breaks such as rivers, streams, and rock outcrops. Fuel breaks were also created by bison grazing patterns, prairie dog towns, and previous fire set by Native Americans. Fire frequency increases when continuous herbaceous fuels and unbroken landscapes allow fire to cover large areas. Frequent fires generally favor herbaceous over woody plants for a variety of reasons including growth form and location of meristematic tissue.
Fire intensity affects plant response to fire and is often used in the management of woody species. The bark of older trees and shrubs commonly insulates the plant from the heat of low-intensity fires, but smaller stems and seedlings are killed. High intensity fire, however, can top-kill the larger trees. Woody plants that are capable of resprouting usually do so vigorously following fire. Low-intensity fires in wooded areas will cause the vegetation to begin to shift toward a savanna appearance. Higher intensity fires in wooded areas may shift the vegetation toward a sprout thicket if mature trees are top killed. The response of woody plants to fire is primarily a function of species, size class, topographical position on the landscape, and fire history.
Herbaceous Plant Response to Fire Frequency and Fire Season
Historical Overview
For many years recommendations for burning tallgrass prairie have been very specific and time sensitive to calendar date and season based on research studies in northern Kansas. However, the research behind these recommendations has been extended beyond its underlying scientific basis. The recommendations were based on research taken from only two replicates of ungrazed small plots (the historical Aldous plots). Other data used for these recommendations were collected from inside cages that were ungrazed and not replicated. Thus these studies did not validate the recommendation that burning should only be done in late spring for the best cattle production. In fact, other research on season of fire on tallgrass prairie has demonstrated that forage production varies from year to year, based on weather and is not predictable by following calendar dates or the phenology of plants for timing of fire. Tallgrass prairie response to fire is highly variable due to the amount and distribution of precipitation, air temperature, soil type, previous history of grazing, and fire (and lack thereof), presence of invasive plants, and current management. Other concerns related to these studies and recommendations relate to the diversity of prairie plants and wildlife. For example, research has shown that burning large tracts of land in late spring is detrimental to ground nesting birds and reduces diversity.
Season of burn affects plants differently depending on a variety of factors including season of growth and stage of growth relative to the fire event. Plants can generally be grouped into two basic categories: cool-season plants (C3) that grow during the winter and/or spring and mature in the spring and warm-season plants (C4) that start growth during the early summer and mature in the fall. Plants are most susceptible to the effects of fire when the plants are actively growing. Cool-season plants are more susceptible in late winter into spring and warm season plants are most susceptible during the late summer into early fall before dormancy. The response of plant communities to fire (Table 1, 2, 3, and 4) is a function of the complex interaction of the numerous factors that affect individual plant response to fire together with higher-level processes such as competition among plants.
Annual plants have a life span of one year and are most susceptible to fire when they are actively growing and before they have dropped their seed. Burning annuals while they are still green is a good method of control if dry fuels are also present.
Table 1A. Response of herbage production to fire inn different times of otherwise is indicated.
| Timing of fire | Location | Seral stage | Perenniala | Forb + legumesa |
|---|---|---|---|---|
| Fall Central | Oklahoma | Mid to late | Not reported | Not reported |
| November | Central Oklahoma | Mid to late | Not reported | +58% (140) |
| Early MArch to late April. Measured in June | Northcentral Oklahoma | Late | 1986 burns +74% (+25/day) 1987 burns nc1 | 1986 burns +146% (+6/day) 1987 burns nc1 |
| Early March to late April. Measured in August | Northcentral Oklahoma | Late | 1986 burns +17% (+16/day) 1987 burns nc1 | 1986 burns nc1 (+21/day) 1987 burns nc1 |
| November, February, and April | Northcentral Oklahoma | Mid |
nc
|
Nov burn nc to +126% (nc to +290) in year 2 of one study Feb burn nc
Apr burn nc
|
| Winter to late spring | Northern Kansas Flint Hills | Late |
Dec burn +14% (500)
Mar burn +11% (400)
Apr burn +22% (800)
May burn nc
|
Dec burn -38% (300)
Mar burn -38% (300)
Apr burn -38% (300)
May burn -75% (600)
|
| Early spring to late spring | Northern Kansas Flint Hills | Late |
Mar burn -33% (1310)
Apr burn -18% (690)
May burn nc
|
May burn nc
Apr burn nc
May burn -47% (140)
|
| Mid November to late April | Northern Kansas Flint Hills | Late | Not reported | Not reported |
a Change as a percent (and change in biomass, kg/ha) as a result of fire
1 nc = no change (P > 0.05) was detected, i.e., by analysis of the slope coefficient in regression analysis, from early March to late April burning.
Table 1B. Response of herbage production to fire inn different times of otherwise is indicated.
| Timing of fire | Total Productiona | Comments | Reference |
|---|---|---|---|
| Fall Central | -53 to -59% (-1,520 to -720) | Ungrazed abandoned cropland, and grazed prairie burned annually for 8 years. Exact burn dates not reported. | Elwell et al. 1941 |
| November | +64% (840) | Wildfire on area not grazed or mowed in previous years. Dominated by little bluestem. Dry year following the fire. Peak green biomass reported for total production. | Adams and Anderson (1978) |
| Early MArch to late April. Measured in June | 1986 burns +94% (+36/day) 1987 burns nc1 | Fires (in 1986 and 1987) followed moderate grazing. Responses averaged over fire type. Comparison with late April burn. | Bidwell et al. (1990) |
| Early March to late April. Measured in August | 1986 burns +74% 1987 burns nc1 | Fires (in 1986 and 1987) followed moderate grazing. Responses averaged over fire type. Comparison with late April burn. | Bidwell et al. (1990) |
| November, February, and April |
Year 1
Nov burn nc to -33% (nc to -870)Feb burn nc to -25% (nc to -670)Apr burn nc to -42%
(nc to +2050)
|
Decrease in total production concomitant with threeawn reduction. | Engle et al. (1990) |
| Winter to late spring |
Dec burn nc
Mar burn nc
Apr burn +14% (600)
May burn +16% (700)
|
Ungrazed plots annually burned 1928-1982. Production data average of 1973-1982. Perennial grasses column includes all grasses. | Towne and Owensby (1984) |
| Early spring to late spring |
Not reported
|
Grazed pastures burned annually 1950-1966. Data from uplands. Forage (non weedy) reported for perennial grasses and weeds for forbs+legumes. | Anderson et al. (1970) |
| Mid November to late April |
After 1 year
Mid Nov +26% (620)
Late Apr +29% (680)
After 2 years
Mid Nov +68% (3270)
Mid Apr +76% (3660)
|
Burned two consecutive years. Data averaged over irrigated and rain-fed because irrigation had no effect. Plots not grazed. | (James 1985) |
a Change as a percent (and change in biomass, kg/ha) as a result of fire
1 nc = no change (P > 0.05) was detected, i.e., by analysis of the slope coefficient in regression analysis, from early March to late April burning.
Table 2A. Response of herbage production to fire in different times of the growing season in tallgrass prairies of the central Great Plains.
| Timing of fire | Location | Seral stage | Perennial grassesa | Forb + legumesa |
|---|---|---|---|---|
| Late summer (September 5) Measured in June | Northcentral Oklahoma | Mid |
Year 1
-41% (-960)
Year 2 nc
|
Year 1
+173% +1610 kg/ha
Year 2
nc
|
| Late summer (September 5) Measured in June | Northcentral Oklahoma | Late |
Year 1
-27% -540 kg/ha
Year 2 nc
|
Year 1
-112% (-260)
Year 2
+171% (+294)
|
| Late summer (September 5) Measured in June | Northcentral Oklahoma | Mid |
Year 1
nc
|
|
| Late summer (September 5) Measured in June | Northcentral Oklahoma | Late |
Year 1
nc
|
Year 1
nc
|
| Late summer (September) | Northcentral Oklahoma | Late |
Year 1
-39% (-1200)
Year 2 nc
|
nc
|
| Late summer to early fall (Early August to early October) | Southcentral Oklahoma | Mid |
Loamy
-54% (-1200)
Shallow nc
|
+53% (+690)
|
a Change as a percent (and in biomass, kg/ha) as a result of fire.
Table 2B. Response of herbage production to fire in different times of the growing season in tallgrass prairies of the central Great Plains.
| Timing of fire | Total Productiona | Comments | Reference |
|---|---|---|---|
| Late summer (September 5) Measured in June |
Year 1 nc
Year 2 nc
|
Burned in 1985. Moderately grazed. 4400 kg/ha fuel. | Ewing and Engle (1988) Engle et al. (1992) |
| Late summer (September 5) Measured in June |
Year 1 nc
Year 2 nc
|
Burned in 1985. Ungrazed. 10,300 kg/ha fuel. | Ewing and Engle (1988) Engle et al. (1992) |
| Late summer (September 5) Measured in June |
Year 1 nc
|
Burned in 1985. Moderately grazed. 4400 kg/ha fuel. | Ewing and Engle (1988) Engle et al. (1992) |
| Late summer (September 5) Measured in June |
Year 1
nc
|
Burned in 1985. Ungrazed. 10,300 kg/ha fuel. | Ewing and Engle (1988) Engle et al. (1992) |
| Late summer (September) |
Year 1
-16% (-580)
Year 2 nc
|
Burned in 1988 and 1989. Plots burned in moderately grazed pasture. Forb production was highly variable among treatment plots. | Engle et al. (1993) |
| Late summer to early fall (Early August to early October) | nc | Burned two sites (shallow and loamy) up to 3 times in 5 years. Not grazed the year of the first burn and after for the duration of the study. Prairie threeawn abundant at the time of the first burn. Response reported for only first burn. | Engle et al. (1998) |
a Change as a percent (and in biomass, kg/ha) as a result of fire.
Table 3A. Change in composition of herbage in tallgrass prairie in response to fire in different times of the dormant season other than late spring in tallgrass prairies of the central Great Plains.
| Timing of fire | Location | Seral Stage | Tallgrassesa | Perennial grassesa |
|---|---|---|---|---|
| November | Central Oklahoma | Mid to late | Not reported | Not reported |
| February | Central Oklahoma | Late | + | + |
| March | South Central Oklahoma | Mid to late | - | - |
| Early March. Measured in June. | Northcentral Oklahoma | Late | + (1986) nc (1987) | + (1986) nc (1987) |
| Early March. Measured in August. | Northcentral Oklahoma | Late | nc (1986) nc (1987) | + (1986) nc (1987) |
| November, February, ad April | Northcentral Oklahoma | Mid | nc | nc |
| November to March | Central and Eastern Kansas | Mid | Not reported | + |
| Winter to late spring compared to no burn | Northern Kansas Flint Hills | Late | + | + |
| Early spring to late spring compared to no burn | Northern Kansas Flint Hills | Late | + all burn dates | Not reported |
| November, March, and late April compared to no burn | Northern Kansas Flint Hills | Late | + all burn dates | - to + |
+ = increase, - = decrease, nc = no difference (P > 0.05) as compared to unburned checks or late spring burning.
a Change in relative composition following burning as compared to late spring burn or check.
Table 3B. Change in composition of herbage in tallgrass prairie in response to fire in different times of the dormant season other than late spring in tallgrass prairies of the central Great Plains.
| Timing of fire | Location | Little bluestema | Forbs + legumesa | Forbsa |
|---|---|---|---|---|
| November | Central Oklahoma | Not reported | Not reported | + |
| February | Central Oklahoma | + | - | nr |
| March | South Central Oklahoma | - | + | nc |
| Early March. Measured in June. | Northcentral Oklahoma | + (1986) nc (1987) | + (1986) nc (1987) | + (1986) nc (1987) |
| Early March. Measured in August. | Northcentral Oklahoma | nc (1986) nc (1987) | nc (1986) nc (1987) | nc (1986) nc (1987) |
| November, February, ad April | Northcentral Oklahoma | nc | nc to + in year 2 of Nov | Not reported |
| November to March | Central and Eastern Kansas | Not reported | Not reported | + |
| Winter to late spring compared to no burn | Northern Kansas Flint Hills | - Dec and May, Mar and Apr | nc Dec, + Mar, - Apr, - May | Not reported |
| Early spring to late spring compared to no burn | Northern Kansas Flint Hills | - Mar, - Apr, - May | + Mar, - Apr, - May | Not reported |
| November, March, and late April compared to no burn | Northern Kansas Flint Hills | + all burn dates | Not reported | Not reported |
+ = increase, - = decrease, nc = no difference (P > 0.05) as compared to unburned checks or late spring burning.
a Change in relative composition following burning as compared to late spring burn or check.
Table 3C. Change in composition of herbage in tallgrass prairie in response to fire in different times of the dormant season other than late spring in tallgrass prairies of the central Great Plains.
| Timing of fire | Location | Legumesa | Comments | Reference |
|---|---|---|---|---|
| November | Central Oklahoma | + | Wildfire on area not grazed or mowed in previous years. Dominated by little bluestem. Dry year following the fire. Peak green biomass reported for total production. | Adams and Anderson (1987) |
| February | Central Oklahoma | nr | Area not grazed for 2 years before fire. Big bluestem reduced by fire, but other tallgrases increased. | Kelting (1957) |
| March | South Central Oklahoma | + | Abandoned cropland naturally revegetated with tallgrasses and woody species. Comparison is pre- and post-burn. | Adams et al. (1982) |
| Early March. Measured in June. | Northcentral Oklahoma |
nc (1986)
nc (1987)
|
Burned (in 1986 and 1987) following moderate grazing. Responses averaged over fire type. Comparison with late April burn. | Bidwell et al. (1990) |
| Early March. Measured in August. | Northcentral Oklahoma |
nc (1986)
- (1987)
|
Burned (in 1986 and 1987) following moderate grazing. Responses averaged over fire type. Comparison with late April burn. | Bidwell et al. (1990) |
| November, February, ad April | Northcentral Oklahoma | Not reported | Production of desirable hay species, mostly perennial grasses, increased by burns that reduced prairie threeawn. Compared to no burn. | Engle et al. (1990) |
| November to March | Central and Eastern Kansas | Not reported | December burn controlled prairie threeawn and released forbs and perennial grasses. Compared to no burn. | Owensby and Launchbaugh (1977) |
| Winter to late spring compared to no burn | Northern Kansas Flint Hills | Not reported | Big bluestem basal cover reported for tallgrasses and perennial forbs basal cover reported for forbs+legumes. Little bluestem basal cover. | Towne and Owensby (1984) |
| Early spring to late spring compared to no burn | Northern Kansas Flint Hills | Not reported | Grazed pastures burned annually 1950-1966. Big bluestem reported for tallgrasses. Perennial forbs reported for forbs+legumes. Data are canopy cover. | Anderson et al. (1970) |
| November, March, and late April compared to no burn | Northern Kansas Flint Hills | Not reported | Areas burned annually but not grazed. Data are canopy cover. | Gibson (1989) |
+ = increase, - = decrease, nc = no difference (P > 0.05) as compared to unburned checks or late spring burning.
a Change in relative composition following burning as compared to late spring burn or check.
Table 4A. Change in composition of herbage in tallgrass prairie in response to fire in different times of the growing.
| Timing of fire | Location | Seral Stage | Tallgrassesa | Perennial grassesa |
|---|---|---|---|---|
| July 14 | South Central Oklahoma | Mid to late | + | - |
| Late summer (September 5) Measured in June | Northcentral Oklahoma | Mid | nc (year 1) nc (year 2) | - (year 1) nc (year 2) |
| Late summer (September 5) Measured in June | Northcentral Oklahoma | Late | nc (year 1) nc (year 2) | - (year 1) nc (year 2) |
| Late summer (September 5) Measured in August, Year 1 | Northcentral Oklahoma | Mid | nc | nc |
| Late summer (September 5) Measured in August | Northcentral Oklahoma | Late | nc | nc |
| Late summer (September) | Northcentral Oklahoma | Late | nc | - (year 1) nc (year 2) |
| Late summer to early fall (Early August to early October) | South Central Oklahoma | Mid | Loamy - Shallow nc | nc |
+ = increase, - = decrease, nc = no difference (P > 0.05) as compared to unburned checks or pre-burn.
a Change in relative composition following burning.
Table 4B. Change in composition of herbage in tallgrass prairie in response to fire in different times of the growing.
| Timing of fire | Location | Little bluestema | Forbs + legumesa | Forbsa |
|---|---|---|---|---|
| July 14 | South Central Oklahoma | - | - | - |
| Late summer (September 5) Measured in June | Northcentral Oklahoma | nc (year 1) nc (year 2) | - (year 1) nc (year 2) | - (year 1) + (year 2) |
| Late summer (September 5) Measured in June | Northcentral Oklahoma | - (year 1) nc (year 2) | + (year 1) + (year 2) | + (year 1) nc (year 2) |
| Late summer (September 5) Measured in August, Year 1 | Northcentral Oklahoma | nc | nc | nc |
| Late summer (September 5) Measured in August | Northcentral Oklahoma | - | nc | nc |
| Late summer (September) | Northcentral Oklahoma | - (year 1) - (year 2) | Not reported | Not reported |
| Late summer to early fall (Early August to early October) | South Central Oklahoma | Loamy - Shallow nc | + | Not reported |
+ = increase, - = decrease, nc = no difference (P > 0.05) as compared to unburned checks or pre-burn.
a Change in relative composition following burning.
Table 4C. Change in composition of herbage in tallgrass prairie in response to fire in different times of the growing.
| Timing of fire | Location | Seral Stage | Tallgrassesa | Perennial grassesa |
|---|---|---|---|---|
| July 14 | South Central Oklahoma | Mid to late | + | - |
| Late summer (September 5) Measured in June | Northcentral Oklahoma | Mid | nc (year 1) nc (year 2) | - (year 1) nc (year 2) |
| Late summer (September 5) Measured in June | Northcentral Oklahoma | Late | nc (year 1) nc (year 2) | - (year 1) nc (year 2) |
| Late summer (September 5) Measured in August, Year 1 | Northcentral Oklahoma | Mid | nc | nc |
| Late summer (September 5) Measured in August | Northcentral Oklahoma | Late | nc | nc |
| Late summer (September) | Northcentral Oklahoma | Late | nc | - (year 1) nc (year 2) |
| Late summer to early fall (Early August to early October) | South Central Oklahoma | Mid | Loamy - Shallow nc | nc |
+ = increase, - = decrease, nc = no difference (P > 0.05) as compared to unburned checks or pre-burn.
a Change in relative composition following burning.
Fire Effects on Air Quality
Fires can affect air quality on a local scale, and if the burn is large enough, on a regional scale. Smoke from wildland fire includes both visible (soot, tar droplets, and water droplets) and invisible items (gasses and organic vapors). The primary products of combustion of organic material (wildland fuels) include carbon dioxide, water vapor, carbon monoxide, particulate matter, hydrocarbons (300+), nitrogen oxides, and trace minerals. Thus, smoke management is a key part of the planning process for prescribed fire. Oklahoma is fortunate to have a smoke prediction model based on the Oklahoma Mesonet System. This model allows fire managers to predict when smoke will disperse and not impact sensitive areas.
Fire Effects on Soil and Water
Fire, either wildfire or prescribed, has various effects on soil and water depending on previous management, fireline intensity, topography, soil type, climate, and future management. People often express concern about soil erosion following a fire. However, research and experience over the past 20 years on wildfires and prescribed fires has shown that there is little need for concern. Research has shown that because of increase light, wind, and plant growth soil dries out faster.
After a fire, the soil surface is blackened and warms more quickly than an unburned site. The warming soil stimulates soil microbial activity, nutrient cycling, forage quality and quantity, and plant growth. Small amounts of nitrogen and sulfur are volatized during a fire, but these are offset by increased nutrient capture with no net loss to the system from a single fire. Increased nutrient cycling enhances plant-available nitrogen, phosphorus, potassium, and micronutrients. Fire also causes lower concentrations of ligin and increased crude protein thus improving forage quality.
Fire effects on water quality and water yield vary over the landscape. High intensity fires with large amounts of fuel consumed with concurrent ash deposits can result in a short-lived nutrient pulse into aquatic ecosystems. This phenomenon has not been fully investigated because water quality issues relative to fire have not been of concern in Oklahoma. In contrast, research has shown that the reduction of invading wood plants such as eastern redcedar or ashe juniper or the thinning of native woody plants such as oak has resulted in improved water yield, water quality, and stream flow. Reducing the canopy cover of woody plants decreases plant water use and canopy and stem interception of precipitation.
Fire Effects on Livestock Production
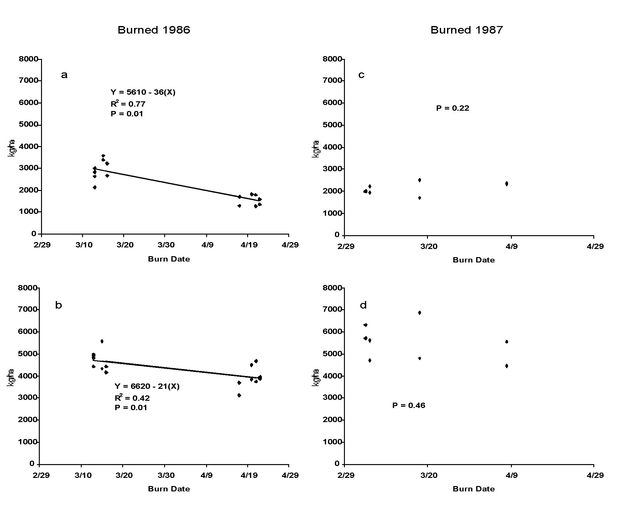
Prescribed fire is one of the most beneficial tools that a livestock operation can use to increase stocker cattle gain 10 to 15%, improve body condition score by one on cows, and reduce common internal (e.g., roundworms) and external (e.g., ticks) parasite problems. The improvement in livestock production can be traced to an improvement in forage quality and quantity, an improvement in forage availability, and reduction in habitats (relatively cool, shaded, and damp conditions) that support parasites. Forage production relative to the timing or season of the burn varies from year to year and cannot be predicted (Table 4) (Figure 1). Prescribed fire can be used to control livestock distribution and be used to enhance wildlife habitat through the fire-grazing interaction (e.g. patch burning also known as rotational grazing without fencing).
Figure 1. Total herbage produced following fires in moderately grazed tallgrass prairie in north central Oklahoma as measured in (a) June 1986, (b) August 1986, (c) June 1987, or (d) August 1987. The independent variable is Julian date. Calendar dates are presented on the x-axes to aid interpretation.
Fire Effects on Steel-wire Fencing
Recent research on the effects of fire on the breaking strength and zinc coating of traditional 2-point double stranded barbed wire fencing yielded some unexpected results. Counter to the commonly held belief that fire damages metal fencing, research demonstrated that repeated grassland fires do not adversely affect the corrosion resistance or breaking strength, and therefore the service life of relatively new or old barbwire fences. Many people have tried to restretch old barbed wire fencing after wooden posts were burned out. Usually the result of restretching was broken wire and this was attributed to the fire. However, research on old barbed wire revealed that after a certain point, corrosion from natural weathering processes and atmospheric pollution weakens the wire and causes it to break when restretched. This is good news for land managers who need to burn through fences because they no on longer need to worry about preparing an additional firebreak to protect steel wire fencing. However, wooden corner and line posts should be protected.
Fire Effects on Wildlife and Wildlife Habitat
Wildlife species include all non-domestic animals, both common and endangered. Their habitat requirements are highly variable and thus fire may be beneficial or detrimental depending on many factors such as timing, season, and size of the burn. However, fire is a necessary management practice for most wildlife species and their habitats. The maintenance and restoration of all major habitat (i.e. vegetation) types in Oklahoma require periodic fire. Research has shown very few cases of direct mortality on wildlife and benefits to the habitat far outweight the rare cases of direct morality.
Unfortunately, a misconception exists among some people about wildlife habitat in general and the role of trees for wildlife habitat specifically. Some think that trees are necessary for wildlife habitat. However, many wildlife species do not require trees and are adversely affected by their presence. For example, wildlife species that occur in prairie and shrubland vegetation types do not require trees and in fact are precluded from their habitat if trees are allowed to invade or are planted. Thus, fire can be an easy, inexpensive, and natural tool for eliminating invasive trees from sites that historically were prairie or shrubland, regardless of how they got there (including ill-conceived tree planting programs).
Popular game species such as bobwhite quail, white-tailed deer, and wild turkey also require fire to maintain high quality habitat. Some wetland habitats also benefit from periodic fire to maintain desirable habitat conditions. Fire is used to maintain or change habitat structure and composition. Fire can improve forage and browse availability, quantity, and quality. Fire also will reduce internal and external parasites on wildlife.
Fire suppression has resulted in the listing of four threatened or endangered species
in Oklahoma. Other species are also declining because of fire suppression, but have
not yet reached a critical threshold. Endangered or threatened species are usually
species that require a very specific set of habitat conditions (narrow ecological
niche). If those conditions are not available, then the species will not occur on
the site.
An example in the native forests of southeastern Oklahoma is the red-cockaded woodpecker.
This species requires mature stands of native pine with an open mid- and understory
for habitat. Fire suppression has allowed hardwoods to occupy the mid- and understory
and thus has precluded the woodpecker from using the habitat. Once the mid- and understory
is removed, the red-cockaded woodpecker will occupy the habitat again if the region
supports a viable population.
Prairie birds are another example. Species such as the lark bunting and many others will not use a site with as few as one or two small trees per acre. When fire is returned to the system and the trees are eliminated, prairie birds will use the site once again provided that grazing management is appropriate. Other examples of declining species that are affected by fire suppression include the lesser prairie-chicken, and in some cases, the greater prairie-chicken. However, in the case of the greater prairie-chicken, much of its tallgrass prairie habitat is burned too often resulting in poor nest success. Patch burning is an alternative that holds great promise to restore greater prairie chicken habitat.
These are but a few examples of fire effects on wildlife habitat. See habitat evaluation guides (e.g. Bobwhite Quail Habitat Evaluation Guide) for specific habitat requirements. Consult with a habitat specialist on how and when to apply fire (see OSU Extension Fact Sheet, Fire Prescriptions for Vegetation Management).
Fire Effects on Riparian Zones
Riparian zones typically have a mixture of large trees, shrubs, and native herbaceous plants. Historically, periodic fire would move through riparian zones and prune the lower tree branches, remove fire intolerant species such as eastern redcedar, and top-kill smaller diameter trees and shrubs causing them to resprout. Many riparian zones in Oklahoma are in poor condition because of the invasion of eastern redcedar and subsequent lack of regeneration of native bottomland hardwood trees such as eastern cottonwood. There is an immediate need for restoration efforts with fire and mechanical methods in riparian zones in Oklahoma.
Fire Effects on Timber Production
Despite Smokey the Bear, fire is a necessary and important management and restoration tool in the forests of Oklahoma. Forest densification (overstocked trees) has become a pervasive problem because of fire exclusion. Shade-tolerant hardwoods in the forest understory of hardwood or pine forests compete for space, water, and nutrients and reduce growth rates of desirable species. This is particularly important during times of drought when older more desirable trees may succumb to drought-stress. While total reduction of the understory growth in not desirable, fire will effectively control hardwoods with a diameter less than 3 inches. Over time, hardwoods up to 10 inches in diameter will be controlled. Periodic fire also improves access for timber cruising, marketing, and harvest.
The season, frequency, and intensity of fire in combination with timber harvest will dictate the structure and composition of the forest. For example, shortleaf pine is capable of resprouting after a fire, but loblolly pine is susceptible to fire damage until it is about ten years old. Pine stands with a history of frequent fires are usually dominated by shortleaf pine, such as south facing slopes in the Ouachita Mountains of southeastern Oklahoma. Hardwoods being more susceptible to fire usually grow on more mesic sites such as north facing slops that historically have less frequent fires. However, some hardwoods like post oak are very adapted to frequent fire.
Fire is equally important after the timber is harvested. Burning reduces leaf litter and slash (logging debris), exposes mineral soil for planting and/or natural regeneration. Nutrient cycling, biological diversity, and productivity are enhanced by fire. For a detailed discussion of fire in forests, see OSU Extension publication, Pushmataha Forest Habitat Research Area.
Fire Effects on Parasites and Diseases
Some of Oklahoma’s troublesome pests, such as ticks and disease-causing fungi, can be controlled with fire. However, for most parasites, control by fire last only during the growing season after fire. Oklahoma’s tourism industry suffers economic loss each year because of the public’s perception of ticks and chiggers in parks, campgrounds, and other recreational facilities. Ticks pose a serious health risk to humans, pets, livestock, and wildlife because of the diseases they can carry. Oklahoma ranks among the top states for cases of Rocky Mountain spotted fever in humans each year. Lyme’s disease and other infections can also be transmitted to humans. Domestic animals can also contract fatal diseases from ticks. Decreased livestock production can cost livestock producers thousands of dollars each year. Research has shown that burning annually significantly reduces populations of both internal and external parasites in birds and mammals.
Applying Fire Effects Information to Ecosystem Restoration
For some people, the mention of fire suggests images of scorched earth rather than beauty, but prescribed fire can greatly improve the appearance, recreational value, and productivity of the land. In prairies and shrublands fire can maintain broad vistas and control invasion of non-native woody plants. Reducing the woody under-story in native forests can create a park-like setting while leaving the large trees. Removal of dense under-story and old vegetation will increase the visibility of wildlife and wildflowers. Many species of wildlife are attracted to burned areas and many plants including wildflowers are stimulated by fire.
There is increasing interest in managing the land to appear as it did before European settlers. This interest is driven by many objectives including habitat restoration for endangered species and wildland fuel reduction as a public safety issue. Burning areas with a fire frequency and fire season that mimics historical fire regimes may be the most important practice for accomplishing this goal. Fire enables ecological drivers (climate, herbivory, fire, and their interaction) that allow ecosystem processes such as nutrient cycling, energy flow, and water cycling to begin to function again. Fire frequencies of various vegetation types are obtained from fire scars on growth rings of trees and by knowing the frequency needed to prevent the encroachment of brush and trees, particularly eastern redcedar into prairies, shrublands, and forests. Fire season can be determined by the frequency of lightning induced fires and historical accounts. Management for pre-European settlement landscapes and associated ecosystem drivers (fire and herbivory) will, at least in part, accomplish each of the management goals previously mentioned because much of the difficulty in attaining these goals is due to fire suppression.
Fire Effects on Wildland Fuels/Wildfire Risk Reduction
There is a national initiative by the Federal Government aimed at managing wildland fuels and reducing wildfire incidents. The reason for this national program is that each year wildfires are becoming more common, more destructive, and more expensive to control. Under extreme weather conditions, wildfires cannot be controlled until the weather improves. Reducing wildland fuels with fire is the most cost effective and ecologically practical method available to reduce wildfires. The chance of wildfire occurring is not eliminated by prescribed fire but it reduces the potential damage and cost of suppression. In some cases, areas that are periodically burned have served as firebreaks and saved housing additions and towns from wildfire destruction.
Urban sprawl has resulted in areas known as the wildland urban interface (housing additions) and wildland urban intermix (scatted houses). These areas are built into wildland fuels (trees, brush, tall grass, etc.) where fires have been suppressed for many years. The presence of heavy fuel loads, extreme weather conditions (high wind, low humidity, high temperatures), improper (i.e. combustible) construction materials, compromised fire departments (fire departments assigned to cover areas that are too large because of urban sprawl), and homeowner ignorance serves as a destructive combination when wildlife occurs. It is not if, but when a wildfire will occur.
Returning fire to its former prominence in the landscape is essential. It is an issue of ecosystem function and health. There are no substitutes. Fire is essential for reproduction in many plant species. It creates variety in the landscape and is essential to maintain biodiversity, wildlife habitat, livestock production, and timber production.
References
This publication contains references from many scientific studies for a list, please contact an author.
Web References
American Indian Use of Fire in Ecosystems
http://www.wildlandfire.com/docs/biblio_indianfire.htm
Fire Effects Information System
http://www.fs.fed.us/database/feis/
Terrence G. Bidwell
Professor and Extension Specialist
Rangeland Ecology and Management
Ronald E. Masters
Director of Research
Tall Timbers Research Station
Tallahassee, Florida
John R. Weir
Range Research Superintendent
Rangeland Ecology and Management
David M. Engle
Professor, Natural Resource Ecology and Management and
Director, DASNR Water Research and Extension Center
